Bevictor伟德2017年研究生国家奖学金
评定细则
第一条 总 则
为促进华中科技大学研究生培养机制改革,建立新型研究生培养机制和激励机制,提高研究生培养质量,根据《国家中长期教育改革和发展规划纲要(2010-2020年)》、《研究生国家奖学金管理暂行办法》(财教〔2012〕342号)和《普通高等学校研究生国家奖学金评审办法》(教财〔2014〕1号)有关精神,为做好研究生国家奖学金评选和管理工作,特制定本办法。
第二条 评选范围
研究生国家奖学金由中央财政出资设立,所有具有中华人民共和国国籍且纳入全国研究生招生计划的全日制(全脱产学习)研究生均有资格申请。研究生在取得学籍后,每学年申请一次国家奖学金,硕士研究生申请年限不超过各院(系)确定的学制年限;博士研究生申请年限不超过4年;直博生申请年限不超过5年。
第三条 基本条件
(一)热爱社会主义祖国,拥护中国共产党的领导;
(二)遵守宪法和法律,遵守高等学校规章制度;
(三)诚实守信,道德品质优良;
(四)学习成绩优异,科研能力显著,专业实践能力突出。
第四条 申请国家奖学金必须满足以下条件中的其中两条:
(一)获得三好研究生标兵、三好研究生、优秀研究生干部、十佳党支部书记、十佳党员、研究生品德模范等校级及以上荣誉称号。
(二)上学年度学习成绩优异。加权平均成绩专业排名位于前10%。(此条仅试用硕士研究生)
(三)在学术研究方面成绩显著。以第一作者或通讯作者身份(导师为第一作者,研究生为第二作者,参评时可视研究生为第一作者)发表学术论文。以第一、二作者身份出版学术专著、译著或担任主编、副主编出版学术编著。
(四)在学科竞赛方面成绩显著。在省部级及以上的专业学科竞赛、课外学术科技竞赛、创业计划大赛等竞赛中获奖。
(五)在创新发明方面成绩显著。以我校为第一专利权人,研究生为第一发明人或设计人(导师为第一发明人,研究生为第二发明人,参评时可视为研究生为第一发明人),获得授权专利。
(六)在课题研究方面成绩显著。参加省部级及以上课题,贡献突出。专业学位研究生,专业实践经历丰富,表现突出。
第五条 评审组织机构
学院成立研究生国家奖学金评审委员会。
主任委员 |
解 德 |
萧 莉 |
|
|
|
|
|
|
副主任委员 |
程远胜 |
谢宇翔 |
|
|
|
|
|
|
委 员 |
李维嘉 |
李天匀 |
徐国华 |
徐俊英 |
黄 满 |
聂 睿 |
王泽楠 |
|
学生评委 |
李梦伟 |
熊剑锋 |
王明升 |
崔自宪 |
魏 鹏 |
方 敏 |
苏永衡 |
于曹阳 |
第六条 本年度国家奖学金指标分配
年级 |
指标 |
硕士二年级 |
2 |
硕士三年级 |
3 |
博士 |
1 |
第七条 评审体系
学院研究生国家奖学金评审委员会组织评选工作,制定量化评审体系,采取“基础评审”+“公开答辩”的方式对参评人员进行综合成绩排名,最终实行差额评选。
综合成绩=基础评审*80%+公开答辩*20%
1、基础评审量化评比指标:
基础评审=学习成绩+科研成果+社会服务
2、基础评审具体评分标准:
(1) 学习成绩
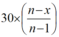
学习成绩得分=

(得分按4舍5入保留小数点后2位,x为专业年级排名,n为专业年级总人数)。
备注:学习成绩以评选国家奖学金时所出的成绩为准,提交成绩时以学院教务科盖章为准;
硕士二年级成绩计算第一学年课程加权成绩;
硕士三年级成绩计算第一、二学年所修课程加权成绩;
博士生成绩全部按照满分30分给出。
(2)科研成果
科研成果得分=(A+B+C)
科研成果界定截止到2016年9月1日(不含9月1日)为止;
科研成果部分加分如有异议,需提交学院学术委员会讨论审议;
A、发表论文、出版专著
A类及以上刊物上发表或录用的论文 |
B类刊物上发表或录用的论文 |
C类刊物上发表或录用的论文或被SCI、EI收录的期刊论文以及学院指定国际会议论文(以收录号为准) |
D类刊物上发表或录用的论文或被SCI、EI收录的国际会议论文(以收录号为准) |
每篇60分 |
每篇40分 |
每篇20分 |
每篇10分 |
攻读研究生阶段出版专著,每1万字加0.5分。参与其它出版,每1万字加0.15分(著作权清晰)
备注:刊物级别以校人事处2008年公布的目录或论文发表(录用)当年该刊物的等级(根据科协论文影响因子分区排序结果),取其高者。发表(录用)在《华中科技大学学术导向性期刊目录》上的论文认定为A类论文(学术委员会会议纪要),论文及专著均须以华中科技大学Bevictor伟德名义发表,并提供相关证明材料;论文等级均以学院学位委员会最新认定标准为准;
研究生发表学术论文,同一篇论文同时署名多名学生时,只允许一人使用参与评奖评优。同时,根据文章的署名人数,只有1人的,加分为总分*100%;署名人数有2人时,若另一人为导师,视同只有1人,加分为总分*100%,其他情况下,第一作者或通讯作者,加分为总分*70%,第二作者,加分为总分*30%;署名人数为3人及以上,第一作者或通讯作者,加分为总分*60%,第二作者,加分为总分*30%,其他作者,加分为总分*10%。(各项加分论文署名人数均不计算导师)
B、学科竞赛
获奖级别 |
加分 |
国际级、国家级(前三个等级) |
20,15,10 |
省部级(前三个等级) |
15,10,5 |
备注:
1、个人加分只限于团队前三人(含本科生),加分比例按获奖证书名字排列顺序计算,获奖证书只有一人的,加分为总分*100%;获奖证书只有二人的,排序第一的加分为总分*70%,排序第二的加分为总分*30%;获奖证书有多人的(含本科生),只限前三,加分依次为总分*60%,总分*30%,总分*10%;
2、不同比赛得分可以累加,同一比赛得分不可累加;
3、获奖级别“国际级和国家级”指获奖证书盖章中有国徽,或学校、学院认定的相关比赛。
C、申请专利
发明专利第一申请人 |
实用新型专利或软件著作权第一申请人 |
每项10分 |
每项5分 |
备注:研究生为第一学生申请人,参评时视为第一申请人;对于正在申请但并未批准的专利项目,不予计分;
D、获省部级科技进步奖及以上奖项
获得国家级、省部级科技进步奖的,获奖证书完成单位须有华中科技大学及本人署名。国家级科技进步奖、省部级科技进步一等奖,视同A类及以上刊物上发表或录用的论文,每项60分,同一项目取最高奖,不累加;省部级科技进步奖其他奖项、行业协会科技进步奖视同B类刊物上发表或录用的论文,每项40分,同一项目取最高奖,不累加。
(3)社会服务
社会服务得分=A+B
A、学生活动类
1)个人获得省级及以上奖励及校级三好研究生标兵者,计20分;
2)个人获得三好研究生、优秀学生干部、一等知行奖学金,计10分,此项不累加;
3)获得各类校级十佳(才艺十佳、十佳党支部书记、十佳党员、研究生品德模范等)评比活动优秀者,每人单项计5分,此项可累加;
4)积极参与学生工作,担任主要学生干部岗位且成效显著,所在组织获得省级以上、校级集体荣誉者单项分别计10分、5分,此项以研工组提供的记录为准,此项最高计10分;
5)本科生班主任带领班级期间获得校级优良学风班称号的,单次计5分,此项以学工组提供的材料为准;
B、社会公益类
1)在道德模范方面身体力行,事迹突出者,经核实,单项事迹加1—5分;
2)具有良好的集体意识,积极参与经认定的社会及集体活动,每学年参与次数达10次、8次、6次者分别加5分、3分、2分,此项以研工组提供的参与记录为准。
3、公开答辩评比
公开答辩环节由学院研究生国家奖学金评审委员会负责评审,现场评审委员超过总人数的三分之二即为有效;
公开答辩分年级按1:1.5的比例,根据基础评审得分排序选取候选人进入答辩环节;
公开答辩从“学习成绩”、“科研成果”、“社会服务”、“现场表现”几个方面评分,总分100分,现场评审委员打分去掉最高分和最低分之后的平均分即为公开答辩学生的得分,参评学生的导师不参与自己学生的评分,参评学生评委不参与自己导师学生的评分。
备注:基础评审得分取得答辩资格的候选人在答辩时放弃答辩或不参与答辩,视为主动放弃国奖申请资格,不得再参与此次国奖评审。
第八条 评选时间和办法
(一)研究生国家奖学金的评选工作每学年进行一次。
(二)研究生国家奖学金的评选步骤:
1. 对照评选条件,研究生本人提出申请;申请人应当申报材料的真实性负全部责任,弄虚作假者将永久取消申报资格。
2. 导师签署意见;
3. 学院研究生国家奖学金评审委员会组织评选,采取公开答辩的方式,实行差额评选。
4. 学院进行结果公示,公示期不少于5个工作日,公示期间接受学生的申诉,公示无异议后,报研究生院,若有异议,由学院研究生国家奖学金评审委员会投票决定,现场评审委员投票超过总人数的三分之二,决定即为有效;
5. 研究生院审查,并在全校范围内进行公示,公示期不少于5个工作日,公示期间接受学生的申诉,公示无异议后,报学校研究生国家奖学金评审领导小组审批。
(三)研究生国家奖学金的奖励办法
硕士研究生国家奖学金奖励标准为每生每年2万元,博士研究生国家奖学金奖励标准为每生每年3万元。
第九条 有下列情况之一者不能参加研究生国家奖学金评定
(一)受到党、团或学校通报批评及警告以上处分;
(二)经学校批准休学复读不满一年;
(三)在学术研究中,有弄虚作假行为;
(四)在科研工作和临床实践中,造成重大事故或损失;
(五)参加非法组织及活动;
(六)无正当理由经常不参加集体活动;
(七)前一学年有课程不及格;
(八)未按学校规定注册而又无正当理由;
(九)因私出国留学、疾病、创业等原因未在校学习;
(十)其他有损学校声誉的行为。
第十条 工作要求
(一)硕博连读研究生、硕博生在取得博士学籍当年,应按照硕士研究生身份申请研究生国家奖学金。
(二)参评的各类成果应在研究生相应学习阶段获得,第一署名单位应为华中科技大学。
(三)研究生国家奖学金获得者再次参评时,对往届参评时已提交过的各类成果不能再次使用。
(四)获得研究生国家奖学金的研究生,应认真填写《研究生国家奖学金申请审批表》,报研究生院统一保存。
(五)研究生国家奖学金评审严格遵守“公平、公正、公开”原则,在评审过程中如有任何异议,可提出申诉意见,反馈程序为:学院研工组—学院研究生国家奖学金评审委员会—学校研究生国家奖学金评审领导小组,不建议越级申诉;
(六)有本实施细则未涵盖的特别优秀事迹者、奖励者,可提交奖学金评审委员会审议。
第十一条 附则
(一)本办法自公布之日起开始执行。
(二)本办法由学院负责解释。
Bevictor伟德
2017年2月